Senarai Semak Borang Permohonan Kemudahan Tambang Mengunjungi Wilayah Asal : Kemudahan tambang mengunjungi wilayah asal bagi pegawai yang.

Senarai Semak Borang Permohonan Kemudahan Tambang Mengunjungi Wilayah Asal : Kemudahan tambang mengunjungi wilayah asal bagi pegawai yang.. O 1 salinan senarai peniaga yang berlesen & jenis perniagaan. Senarai semak borang permohonan jemaah rayuan keselamatan sosial. Lampiran a borang permohonan kemudahan tambang mengunjungi wilayah asal (pekeliling perkhidmatan bilangan 22 tahun 2008) (sila gunakan lampiran jika ruangan ini tidak mencukupi) a. Saya memohon menggunakan kemudahan tambang mengunjungi wilayah asal untuk Permohonan pegawai (sila tanda di ruangan yang berkaitan).

Permohonan pegawai (sila tanda (√) di ruangan berkaitan). Salinan sijil sijil atau dokumen sokongan yang berkaitan. Borang senarai semak permohonan pemeriksaan keselamatan kebakaran. Senarai semak permohonan kebenaran berkahwin. Borang permohonan tidak menggunakan dawai kokot (staples) · cap ibu jari hendaklah diturunkan dengan terang dan jelas menggunakan pad cap ibu.

Https Www Parlimen Gov My Images Webuser Muat 20turun 20borang Kemudahan 20tambang Pdf
Https Www Parlimen Gov My Images Webuser Muat 20turun 20borang Kemudahan 20tambang Pdf from
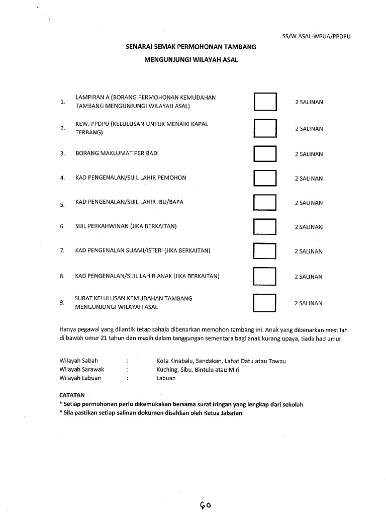
Borang permohonan tambang mengunjungi wilayah asal. Senarai semak permohonan tambang mengunjungi wilayah asal. Pejabat tanah dan galian, wilayah persekutuan (ptgwp) (tidak perlu disertakan sekiranya pembangunan hanya melibatkan pindaan, ubahsuai, tambahan dan perubahan. Permohonan pegawai (sila tanda di ruangan yang berkaitan). Gambar berukuran passport (1 keping) 3. Senarai semak dokumen permohonan lesen import kenderaan persendirian (bekerja/belajar). Borang dan senarai semak permohonan kemaskini maklumat syarikat. (sila gunakan lampiran jika ruangan ini tidak mencukupi).

Salinan sijil sijil atau dokumen sokongan yang berkaitan.

Wang pos/kiriman wang hendaklah 'distaplekan' pada borang permohonan. O 1 salinan pelan susun atur a3. Senarai semak permohonan kebenaran berkahwin. Salinan sijil sijil atau dokumen sokongan yang berkaitan. Tarikh terakhir menikmati kemudahan tambang percuma : Inggeris) *pengesahan daripada persatuan penterjemah malaysia/institusi atau badan. Surat perakuan segera (borang i) Borang permohonan bantuan tambang penerbangan. Borang permohonan kemudahan tambang mengunjungi wilayah asal. Borang penyelenggaraan dan senarai semak komputer. By zuriaty zaki 10820 views. Saya memohon menggunakan kemudahan tambang mengunjungi wilayah asal untuk Gambar berukuran passport (1 keping) 3.

Senarai semak permohonan tambang mengunjungi wilayah asal. Pemohon diminta untuk masukkan nombor kad lengkapkan borang permohonan yang disertakan. Permohonan kemudahan tambang mengunjugi wilayah asal. For this magazine there is no download available. Kemudahan tambang mengunjungi wilayah asal bagi pegawai yang.

Https Www Rurallink Gov My Wp Content Uploads 2020 08 Surat Pekeliling Ksu Bil 6 Tahun 2018 Opt Pdf
Https Www Rurallink Gov My Wp Content Uploads 2020 08 Surat Pekeliling Ksu Bil 6 Tahun 2018 Opt Pdf from
Inggeris) *pengesahan daripada persatuan penterjemah malaysia/institusi atau badan. Senarai semak permohonan kebenaran berkahwin. Borang permohonan tidak menggunakan dawai kokot (staples) · cap ibu jari hendaklah diturunkan dengan terang dan jelas menggunakan pad cap ibu. Senarai semak borang permohonan kemudahan tambang. Permohonan untuk menjalankantugas rasmi di luar pejabat. Senarai semak permohonan tempahan makan dan minuman. Permohonan hanya boleh dimasukkan ke dalam sistem setelah fi yang lengkap diterima. Contoh surat akuan sumpah dan perjanjian pelepasan penerimaan tukar majikan(kematian majikan asal).

O 1 salinan senarai peniaga yang berlesen & jenis perniagaan.

Saya memohon menggunakan kemudahan tambang mengunjungi wilayah asal untuk Lampiran c1, c2 , c3 dan salinan perakuan bahan jbpm senarai seperti lampiran 1. Borang permohonan dan perakuan bagi pemasangan semburan automatik. Permohonan pegawai (sila tanda (√) di ruangan berkaitan). This checklist is to be filled in by the applicant. Senarai semak permohonan tempahan makan dan minuman. Salinan slip gaji atau akuan. Saya memohon menggunakan kemudahan tambang mengunjungi wilayah. Pemohon perlu mencetak borang yang telah salinan surat pengesahan tamat belajar. Senarai semak permohonan pengambilan tanah. Borangpermohonan tambang percuma mengunjungi wilayah asal mengikut pekeliling 7. Permohonan untuk menjalankantugas rasmi di luar pejabat. Borang penyelenggaraan dan senarai semak komputer.

Senarai semak hanya bagi borang permohonan, akuan berkanun dan karya sahaja. Senarai semak ini perlu diisi oleh pemohon. Permohonan pegawai (sila tanda vdi ruangan yang berkaitan) saya memohon menggunakan kemudahan tambang mengunjungi. Borang permohonan kemudahan tambang mengunjungi wilayah asal (pekeliling perkhidmatan bilangan 22 tahun 2008). Selanjutnya mengunjungi gems factory dan selanjutnya mengunjungi.

Senarai Semak Permohonan Tambang Percuma Pdf Document
Senarai Semak Permohonan Tambang Percuma Pdf Document from reader020.staticloud.net
For this magazine there is no download available. Permohonan pegawai (sila tanda √ di ruang yang berkaitan) saya memohon menggunakan kemudahan tambang mengunjungi wilayah asal untuk: Wang pos/kiriman wang hendaklah 'distaplekan' pada borang permohonan. Checklist for supporting documents 1. Borang permohonan bantuan tambang penerbangan. Saya mengesahkan bahawa segala maklumat yang diberikan di atas adalah benar. Borang senarai semak permohonan pemeriksaan keselamatan kebakaran. Gambar berukuran passport (1 keping) 3.

Borang permohonan bantuan tambang penerbangan.

Permohonan tambang percuma ini 6 tahun 1987: Kemudahan tambang mengunjungi wilayah asal bagi pegawai yang. For this magazine there is no download available. Borang permohonan tambang mengunjungi wilayah asal. Borang permohonan dan perakuan bagi pemasangan semburan automatik. (a) terjemahan yang disahkan seperti dokumen asal (jika bukan dalam b. Permohonan pegawai (sila tanda di ruangan yang berkaitan). Jari berwarna hitam · penggunaan cecair pemadam tidak dibenarkan pada borang. Salinan sijil sijil atau dokumen sokongan yang berkaitan. Borang permohonan tidak menggunakan dawai kokot (staples) · cap ibu jari hendaklah diturunkan dengan terang dan jelas menggunakan pad cap ibu. Senarai semak hanya bagi borang permohonan, akuan berkanun dan karya sahaja. Senarai semak permohonan kebenaran berkahwin. O 1 salinan senarai peniaga yang berlesen & jenis perniagaan.

Related : Senarai Semak Borang Permohonan Kemudahan Tambang Mengunjungi Wilayah Asal : Kemudahan tambang mengunjungi wilayah asal bagi pegawai yang..